
Um dieser Explosion der Datenmenge zu entkommen, hat PNSensor ein alternatives Konzept in Angriff genommen, welches sich die spezielle Signalentstehung und Signalentwicklung von Röntgenphotonen im Halbleitermaterial Silizium zu Nutze macht. Wird ein Röntgenphoton im Silizium durch den Photoeffekt in Elektron-Lochpaare umgewandelt, so passiert dies innerhalb weniger Pikosekunden in einem Volumen von weniger als einem Kubikmikrometer. Das elektrische Feld im Detektor trennt die Elektronen von den Löchern und driftet sie zu den Kathoden und Anoden. Auf dem Weg dorthin stoßen sich die Ladungsträger ab und driften auseinander. Hier ist ein Beispiel für ein Röntgenphoton von 1,3 keV, welches in einer Tiefe von 3 µm in einem 450 µm dicken pnCCD konvertiert wird. Bei der Ankunft der Signalladungen in der Pixelstruktur hat sich der Durchmesser der Ladungswolke in der über 85 % aller erzeugten Signalladungen enthalten sind von ursprünglich 1 µm auf über 50 µm ausgedehnt (Abb. 1). Wenn das Ausleserauschen so niedrig wie in unseren Detektoren ist, typischerweise 3 Elektronen, kann die Ladungsverteilung in den betroffenen Pixeln genau gemessen und der Ladungsschwerpunkt bestimmt werden. Eine zusätzliche Korrektur berücksichtigt die Gauß-Form der Ladungsverteilung und verbessert die Genauigkeit (Abb. 2).
Auf diese Art und Weise ist es uns gelungen, den Wechselwirkungsort des Röntgenphotons mit dem Siliziumdetektor auf 3 µm genau zu bestimmen, bei einer Pixelgröße von 48 µm × 48 µm und einer Auslesegeschwindigkeit von 1.000 Bildern pro Sekunde (siehe Abb. 3). Wird die Röntgenenergie größer, z.B. 6 keV, so verbessert sich die Ortsmessung auf weniger als 1 µm [1]. Würde man einen Detektor auslesen wollen dessen Pixel 1 µm groß sind, so würde man 2.300-mal mehr Daten aufnehmen müssen, um die gleiche Ortsgenauigkeit zu erhalten. Die von PNSensor entwickelte Methode ist insbesondere für Anwendungen in der Röntgenastronomie interessant, denn an Bord eines Röntgensatelliten sind die Ressourcen stark beschränkt. Aber auch in der Festkörperphysik wo mit den Methoden der "Resonant Inelastic X-ray Scattering" (RIXS) Zustände und Zustandsänderungen in Materie untersucht werden, bedeutet das von PNSensor entwickelte Verfahren einen großen Fortschritt.
Weblinks:
Abb. 1: Unmittelbar nach dem Ionisationsvorgang im Silizium dehnt sich die Signalelektronenwolke auf ihrem Weg in die Pixelstruktur des pnCCDs aus und überdeckt bei ihrer Speicherung in den Bildzellen mehrere Pixel. Nun sucht man das Maximum der Gauß-förmigen Ladungsverteilung und bestimmt den Ort. Wenn das Rauschen des Sensors niedrig ist, kann dies mit höchster Genauigkeit geschehen. Summiert man den Inhalt aller betroffenen Pixel so kann neben der genauen Ortsbestimmung auch gleichzeitig die Energie des einfallenden Röntgenquants gemessen werden.
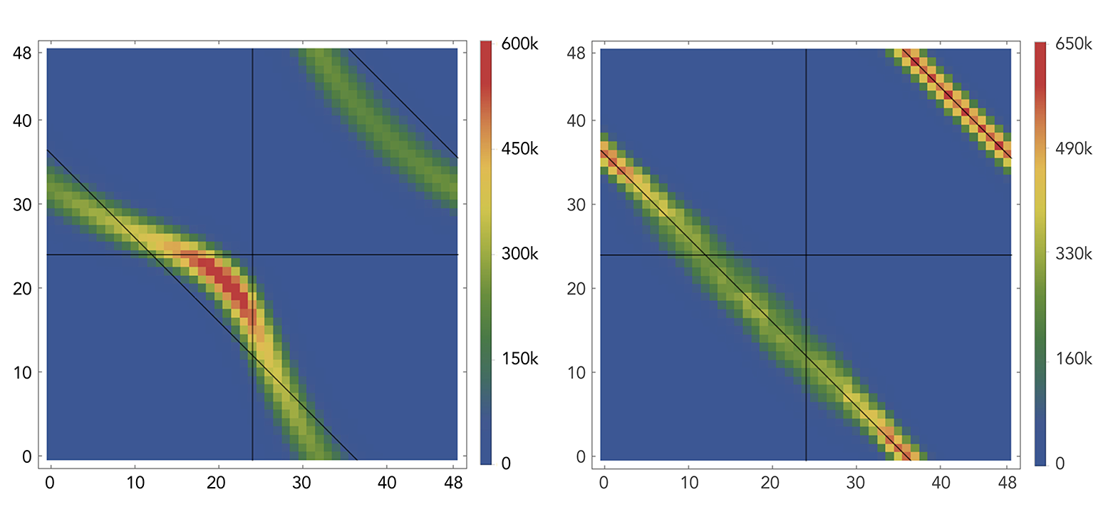
Abb. 2: Wenn Röntgenphotonen längs der beiden schwarzen Linien auf eine Bildzelle treffen, so würden mit den klassischen Auswertemethoden die bunten Linien links rekonstruiert. Die neuen Algorithmen von PNSensor verbessern die Rekonstruktion relativ genau auf den tatsächlichen Einfallsort, wie die Simulationen rechts zeigen.
Abb. 3: Simulation und Messung der Ortsgenauigkeit innerhalb eines Pixels mit Röntgenquanten einer Energie von 1,3 keV. Die Punkte sind die gemessenen Werte, die durchgezogenen Linien sind die Ergebnisse der Simulation. An den Rändern der Pixel ist die gemessene Ortsgenauigkeit besser als 1,5 µm in der Mitte eines Pixels etwa 3 µm. Bei höheren Röntgenenergien werden mehr Signalladungen erzeugt und eine höhere Präzision erreicht. So ist bei einer Energie von 6 keV die Ortsgenauigkeit im gesamten Pixel besser als 1 µm.